| 1,20 | 1,40 | 173.974 | 41.848 | 208.769 | 58.587 | |
| 2,40 | 2,80 | 160.682 | 174.003 | 385.637 | 487.208 | |
| 3,60 | 4,20 | 200.897 | 291.016 | 723.229 | 1,222.267 | |
| 4,80 | 5,60 | 261.061 | 70.614 | 1,253.093 | 395.438 | |
| 6,00 | 7,00 | 273.816 | 35.301 | 1,642.896 | 247.107 | |
| 7,20 | 8,40 | 205.987 | 16.269 | 1,483.106 | 136.660 | |
| 5,10 | 9,44 | 140.592 | 10.696 | 1,138.795 | 100.970 | |
| 9,00 | 10,50 | 121.441 | 9.169 | 1,092.969 | 96.275 | |
| 9,90 | 11,54 | 92.564 | 6.722 | 916.384 | 77.572 | |
| 10,80 | 12,60 | 286.255 | 21.050 | 3,091.554 | 265.230 | |
| 1,917.269 | 676.688 | 11,946.432 | 3,087.314 | |||
B. Podle ustanovení novely při pojistném
4,3% střední denní mzdy bez ohledu na ustanovení
§ 12., odst. 6. a zavedení XI. třídy.
| 1,26 | 209.843 | 264.402 | |
| 2,38 | 278.519 | 662.875 | |
| 3,64 | 408.541 | 1,487.089 | |
| 4,76 | 431.789 | 2,055.816 | |
| 6,02 | 326.791 | 1,967.282 | |
| 7,28 | 232.446 | 1,692.207 | |
| 8,12 | 153.143 | 1,243.521 | |
| 9,10 | 131.779 | 1,199.189 | |
| 9,94 | 101.187 | 1,005.799 | |
| 10,78 | 319.919 | 3,448.727 | |
| 2,593.957 | 15,026.407 | ||
Poněvadž nemocenské ve třídě
X. činilo ze mzdy dělníka lépe placeného
poměrně malé procento, bylo rozhodnuto výborem
sociálně-politickým, aby byla zavedena v
nemocenském pojištění nová mzdová
třída XI. a to tak, že horní hranice
třídy X. stanovena do mzdy Kč 37,50 denně,
třída XI. nad Kč 37,50. Střední
denní mzda pak činí Kč 39-.
Lze souditi, že roční předpis na pojistném
nemocenského pojištění se zavedením
této nové XI. třídy zvýší
asi o 10-12 mil. Kč. Z dosavadních 319,9 tisíc
pojištěnců ve třídě X.
přejde 254,5 tisíc pojištěnců
do třídy XI.
Pro nárok na nemocenské zavádí se
tak zvaná dvoudenní absolutní karenční
doba, t. j. nemocenské, které bylo stanoveno těmito
částkami:
jest povinna poskytovati pojišťovna pojištěnci,
jenž je neschopen práce pro nemoc nepřivoděnou
úmyslně již od třetího dne této
neschopnosti. Odpadá tudíž dosavadní
rozlišování případů, zda
neschopnost kupráci trvala či netrvala déle
nežli 14 dní a přísluší
také nemocenské za všechny neděle hned
po karenční době.
Stalo se tak toho důvodu "že dosavadní
stav vedl v některých případech k
prodlužování nemoci přes 14 dnů,
což bylo možno u nemocenských pojišťoven
pozorovati na počtu případů, v nichž
délka nemocí trvala přes dva týdny
před účinností zákona č.
221./24 a po ní.
Dospívá-li se k tomu, že za stejných
poměrů morbiditních a při stejných
nákladech na naturální dávky zavedení
dvoudenní absolutní karenční doby
znamená oproti dosavadnímu stavu zvýšení
celkového nákladu na nemocenské pojištění
asi o 15 mil. Kč, pak lze usuzovati, což praktikové
potvrzují, že bude tato částka nižší,
ježto nebude důvodu, aby se pojištěnci
snažili prodlužovati dobu pracovní neschopnosti
přes 14 dní.
Odůvodnění k výši pojistného
v pojištění starobním a invalidním
jest obsaženo v části matematicko-statistické
této zprávy.
K § 175 zákona. Aby rozptýleny byly pochybnosti
o tom, který soud je povolán k povolení a
k vykonání exekuce při vymáhání
pojistného, bylo v novele stanoveno výslovně,
že jím jest soud příslušný
podle exekučního řádu.
K § 187 zákona. Výbor navrhuje doplnění
§u 187 zákona novým odstavcem 3., který
obsahuje ustanovení obdobné jako novela pensijního
pojištění. Toto ustanovení má
za účel ochranu nositele sociálního
pojištění před opětováním
žádostí za přiznání invalidního
nebo vdovského důchodu během jednoho roku,
aniž se zdravotní stav osoby uplatňující
nárok změnil.
K § 189 zákona. Aby zabráněno bylo zatížení
a zdražení administrativy pojištění,
navrhuje výbor doplnění §u 189 v tom
směru, že vydání výměru
o pojistné povinnosti a o případných
změnách zařadění do tříd
pojistných zaměstnavateli i pojištěnci
děje se pouze tehdy, když si vydání
výměru strana výslovně vyžádala,
nebo když zaměstnanec nebyl zaměstnavatelem
k pojištění přihlášen, nebo
když nemocenská pojišťovna pojistnou povinnost
odpírá anebo konečně když zařaďuje
pojištěnce do jiné třídy, nežli
by měl býti zařaděn podle přihlášené
mzdy.
§ 791 zákona. Protože výbor navrhuje změnu
§ 244 zákona (o poměru sociálního
pojištění k chudinství a ke třetím
osobám), jest navrhováno zrušení §
191 zákona, podle něhož výměr,
kterým byl přiznán, změněn
nebo odňat důchod pojištění invalidního
a starobního, má býti doručen korporaci
povinné k chudinskému zaopatření.
K § 195 zákona. Výbor navrhuje k v podnětu
ministerstva spravedlnosti vypuštění slov "pokud
zákon se zmeškáním lhůty nespojuje
jako následek ztrátu práva". Ministerstvo
spravedlnosti odůvodňuje tento svůj návrh
poukazem, že navrácení v předešlý
stav jest určeno právě pro případy
uváděné ve větě navržené
k vypuštění.
K § 202 zákona. Dosavadní znění
§ 202 připouštělo, aby byla poskytována
náhrada za ušlou mzdu pauze přísedícím
rozhodčího soudu z řad pojištěnců.
Protože i drobní živnostníci a zemědělci
výkonem funkce přísedících
při jednání rozhodčího soudu
mají újmu na výdělku, a protože
i § 85 zákona poskytuje všem funkcionářům
pojišťovacích ústavů bez rozdílu,
zda jsou ze skupiny pojištěnců nebo zaměstnavatelů
nárok na náhradu hotových výloh a
na platy presenční, byla otázka náhrady
výloh a ušlého výdělku u přísedících
rozhodčího soudu řešena obdobně
a slova "ušlé mzdy" nahrazena slovy "platy
presenční".
K § 204 zákona. Rozvedení dosavadního
ustanovení § 204 podle návrhu ministerstva
spravedlnosti činí zákon přesnějším
a účelně jej doplňuje. Odstavec 2.
nového znění § 204 odstraňuje
pochybnost, zda jednotliví soudcové a senáty
mohou vydávati rozsudky zcela samostatně bez souhlasu
předsedy rozhodčího soudu.
K § 206 zákona. Ježto dosavadní znění
§ 206, odst. 1., věta druhá, by vylučovalo
při odmítnutí předsedy opravné
prostředky vůbec, omezuje výbor podle návrhu
ministerstva spravedlnosti uvedené ustanovení pouze
na odmítnutí přísedících
rozhodčího soudu.
K § 208 zákona. Řízení rozhodčího
soudu je veřejné. Ale v zájmu pojištěnce
nebo příslušníka rodiny pojištěncovi
o jichž nemoci, tělesných vlastnostech apod.
může býti před rozhodčím
soudem jednáno, se navrhuje doplněk, aby o vyloučení
veřejnosti platila obdobná ustanovení civilního
řádu soudního.
§ 209 zákona. Vzhledem na změny § 206
a 208 navrhované novelou a dovolávající
se určitých ustanovení civilního řádu
soudního, nutno upraviti ustanovení § 209,
odst. 2., vylučující platnost civilního
soudního řádu všeobecně. Jest
proto navrhována změna v tom směru, že
při řízení před rozhodčími
soudy neplatí ustanovení civilního řádu
soudního, pokud není v zákoně o sociálním
pojištění jinak stanoveno.
K § 213 zákona. Shodně s ustanovením
§ 226, odst. 4. doplněn byl § 213, odst. 3. zákona
větou, že stížnost jest podati pouze v
jednom vyhotovení a odpůrce že není
třeba o ní zpravovati.
K § 220 zákona. V odst. 1., č. 1 tohoto paragrafu
navrhuje výbor na námět ministerstva spravedlnosti
nahraditi slovo "pokutován" slovem "odsouzen",
protože náhrada zmařeného řízení
podle §§ 203 a 208 má spíše povahu
civilně právní náhrady škody
než povahu trestu.
Mimo to jest nutno, aby odst. 1., č. 4, písm. i)
tohoto paragrafu doplněn byl uvedením nositele nemocenského
pojištění veřejných zaměstnanců,
které bylo zavedeno pozdějším zákonem
č. 221/1925.
K § 224 zákona. Výbor navrhuje, aby slova "jako
soudcové" na konci tohoto paragrafu jako zbytečná
byla vypuštěna.
K § 226 zákona. Doplněk navrhovaný v
odst. 2., § 226, že i proti usnesení předsedy
pojišťovacího soudu, nebéře-li
se v odpor zároveň rozhodnutí ve věci
hlavní, lze odporovati stížností, plyne
z povahy věci.
K § 229 zákona. Dosavadní znění
§ 229, odst. 2. vztahovalo obdobnou platnost předpisů
o složení pojišťovacích soudů
a o řízení před nimi pouze na přísedící
vrchního pojišťovacího soudu, nerozšířilo
však předpisy tyto i na soudce. Proto se na podnět
ministerstva spravedlnosti navrhuje nová širší
stylisace.
K § 239 zákona. Jako odstavec 3. tohoto paragrafu
navrhuje výbor ustanovení, v němž je
jasně vytčeno procesní postavení nemocenských
pojišťoven v řízení administrativním
i v řízení před nejvyšším
správním soudem a též i procesní
postavení Ústřední sociální
pojišťovny, jíž přísluší
legitimace ke stížnosti u nejvyššího
správního soudu, i když v administrativním
řízení vystupovala za ni jako strana jen
nemocenská pojišťovna. Dosavadní odstavec
3. stává se odstavcem 4.
Protože po předložení vládního
návrhu (tisk č. 1225) bylo vydáno vládní
nařízení ze dne 13. ledna 1928, č.
Sb. z. a n., o řízení správním,
v němž jsou obsažená ustanovení
o lhůtách ve správním řízení,
vypuštěna byla z vládního návrhu
nadbytečná slova v nově navrhovaném
odst. 5. "a proti rozhodnutí politických úřadů".
Odstavcem 6. vyplněna je mezera zákona, kdo má
řešiti spory mezi jednotlivými nositeli pojištění,
neboť spory mezi nositelem pojištění a
některým zaměstnavatelem, jehož zaměstnanci
jsou podle § 5, písm. a) z pojištění
vyňati, o převedení premiových reserv.
K § 248: Provádění pojištění
osob, zaměstnaných mimořádným
způsobem, je v praksi spojeno s velikými obtížemi.
Požadavek, aby také pro tyto osoby platila veškerá
ustanovení zákona právě tak, jalo
pro zaměstnance, kteří jsou v trvalém
poměru námezdním, byl by neproveditelný.
Jeví se proto nevyhnutelná potřeba, aby pojištění
těchto osob s ohledem na mimořádné
poměry jejich zaměstnání bylo upraveno
s jiných hledisek než pojištění
osob pravidelně zaměstnaných. Má se
tak státi nařízením, v němž
budou stanoveny výjimečné předpisy,
na jichž základě bude pojištění
osob, zaměstnaných mimořádným
způsobem, upraveno tak, aby administrativě pojišťoven
nebyly kladeny nepřekonatelné obtíže.
Oproti dřívějšímu znění
§ 248 navrhuje výbor přesnější
výpočet oněch ustanovení zákonných,
jež nařízením mohou býti upravena
odchylně od dosavadního znění zákona.
Zvláštní způsob zaměstnání
osob, uvedených v odst. 1, toho vyžaduje, aby mohly
býti stanoveny výjimky z tohoto zákona, nejen
pokud jde o přihlašování a odhlašování
těchto osob, nýbrž též pokud jde
o zařazování jich do tříd (pro
jednotlivé kategorie dělníků, u nichž
mzdové poměry se nerůzní, bude možno
stanoviti určité třídy), dále
o vyměřování pojistného, jeho
předpisování a odvádění
a o vedení mzdových záznamů. Podle
dosavadního znění zákona bylo možno,
aby v pojištění nemocenském byla pro
posluhovačky, domácí švadleny a jiné
osoby, zaměstnané střídavě
u různých zaměstnavatelů a dále
pro osoby nepravidelně zaměstnané, stanovena
zvláštní čekací doba pojištění
nemocenského. Navrhujeme, aby toto ustanovení bylo
rozšířeno na všechny osoby, zaměstnané
mimořádným způsobem.
Zájem pojištěnců bude toho vyžadovati,
aby pojištění některé kategorie
osob v určitém obvodě bylo prováděno
pouze jedinou nemocenskou pojišťovnou a má proto
býti připuštěno, aby nařízením
mohla býti také stanovena příslušnost
určité pojišťovny.
Prakse ukázala, že je zejména těžko
zjistiti, zdali domácký dělník, který
pracuje pro více podnikatelů a zhotovené
výrobky velmi nepravidelně odvádí,
provádí domáckou práci jako své
hlavní zaměstnání nebo jen jako zaměstnání
vedlejší, které povinnému pojištění
nepodléhá. Aby toto rozlišování
nemocenským pojišťovnám i zaměstnavatelům
bylo ulehčeno, docházelo často k ujednání
zvláštních dohod mezi nemocenskými pojišťovnami
a zaměstnavateli o převádění
pojištění domáckých dělníků.
Ve většině takovýchto ujednání
byla stanovena týdenní nebo měsíční
minimální mzda s tím dodatkem, že
domáckého dělníka, který ani
této minimální mzdy v určitém
časovém období nevydělá, jest
považovati za osobu pojistné povinnosti nepodrobenou,
neboť lze míti za to, že provádí
domáckou práci jako své vedlejší
zaměstnání. Zaměstnavatel pak není
povinen za toto období platiti za něho pojistné:
Navrhuje proto výbor, aby přípustnost stanovení
takového minimálního výdělku
byla vládním nařízením výslovně
umožněna a aby příslušné
nařízení takovéto minimum stanovilo,
při čemž bude ovšem nutno, aby pro různé
obory domácké práce byl minimální
výdělek stanoven v různé výši.
Vynětí domáckých dělníků
z pojistné povinnosti je ovšem možné jedině
po vyslechnutí zúčastněných
odborových organisací zaměstnavatelů
i zaměstnanců.
Vládním nařízením mohou býti
vyloučeny z pojistné povinnosti pro případ
invalidity a stáří osoby zaměstnané
pracemi sezonními. Aby rozptýleny byly pochybnosti
o tom, co sluší rozuměti pracemi sezonními,
jichž vykonávání by vláda nařízením
mohla osvoboditi od pojistné povinnosti pro případ
invalidity a stáří, navrhuje výbor,
aby definice těchto prací jakož i podmínka
osvobození od pojistné povinnosti, stanovené
ve vládním návrhu, byly přesněji
v zákoně určeny.
V odst. 5. navrhuje výbor, aby pro všechny
osoby, uvedené v § 248, mohlo býti nařízeno,
že mohou býti zaměstnány toliko tenkráte,
vykáží-li se určitým průkazem.
Tímto opatřením má býti umožněno,
aby do pojištění zahrnut byl pokud možno
největší počet osob, zaměstnaných
střídavě u různých zaměstnavatelů,
u nichž provádění pojištění
dosud bylo spojeno s největšími obtížemi.
Poněvadž je nutno umožniti, aby mimořádný
způsob provádění pojištění
osob uvedených v § 248 mohl býti praktikován
bez jakéhokoliv odkladu, je třeba, aby v zákoně
bylo výslovně pamatováno na to, že do
té doby, než toto nařízení
bude vydáno, je přípustno, aby pojištění
těchto osob bylo prováděno podle směrnic,
jež vydá Ústřední sociální
pojišťovna. V různých okresích
existují již dnes úmluvy mezi nemocenskými
pojišťovnami a zástupci různých
oborů domáckého průmyslu, které
Ústřední sociální pojišťovně
byly zasílány na vědomí. Bude jen
ve prospěch věci, když bude Ústřední
sociální pojišťovně umožněno,
aby již i před vydáním příslušného
nařízení působila k tomu, aby sjednávání
takových úmluv bylo pokud možno jednotně
upraveno.
K § 254 a) zákona: Doručování
platebních výměrů okresních
nemocenských pojišťoven zaměstnanci těchto
pojišťoven není výjimkou z výsadního
práva pošty na dopravu psaní či písemných
zpráv, jakou mají na mysli § 12, pokud se týče
§ 9, poštovních zákonů u nás
platných, totiž bývalého rakouského
z r. 1837 a bývalého uherského z r. 1850.
Upouští-li tedy poštovní správa
navrhovaným zněním § 254 a) od svého
zamítavého stanoviska k soukromé dopravě
psaní či písemných zpráv, činí
tak jen v zájmu sociálního pojištění
a v předpokladu, že doručování
se bude díti jen při inkasování, nikoliv
tudíž všeobecně a pravidelně a
že se bude omezovati pouze na platební výměry
a nijaké jiné písemné zprávy.
V příčině ostatních ustanovení
návrhu poukazuje se v podstatě na vývody,
jež jsou obsaženy v důvodové zprávě
k vládnímu návrhu tisk č. 1225-II.
Matematicko-statistická část důvodové
zprávy k vládnímu návrhu č.
t. posl. sněm. 1225./II. omezila se na podání
nejdůležitějších výsledků.
Některé podrobnosti z obsáhlého číselného
materiálu, který sloužil k výpočtům
pojistného, byly pak sděleny ministerstvem sociální
péče v sociálně-politickém
výboru poslanecké sněmovny dne 2. března
t. r. Podstatný obsah sdělení toho je pojat
stručně v této části zprávy
výboru sociálně-politického a doplněn
dalšími statistickými podklady, jichž
bylo použito k výpočtu zatížení
nositele pojištění v důsledku podstatných
změn v dávkovém systému, a tabulkami
základních čísel (tab. I. - XII.),
hodnot jednotlivých nároků (tab. XIII.) a
průměrného pojistného (tab. XIV. až
XVII.).
Již v důvodové zprávě k vládnímu
návrhu bylo uvedeno, že statistické předpoklady
o úmrtnosti pojištěnců a všech
druhů důchodců, o rozdělení
pojištěnců podle věku, o frekvenci invalidisace,
o ženatosti, jakož i o rozdělení manželských
párů podle věku jsou tytéž jako
v důvodové zprávě č. t. posl.
sněm. 4186./I., ježto nebylo možno za dobu dosavadního
provádění sociálního pojištění
dělnického získati v těchto směrech
jiných početních podkladů. Změny,
které byly provedeny při výpočtu důchodu
sirotčího po pojištěnkách a vychovávacích
příplatků k důchodům pojištěnek,
byly již uvedeny v důvodové zprávě
k vládnímu návrhu. Budiž tu podotknuto,
že z tabulek základních čísel
(tab. IX. a XI.) jest bráti 0,4 všech hodnot tam uvedených.
Podle vládního návrhu jsou vyňaty z povinného pojištění invalidního a starobního osoby, které nepřekročily 16. roku svého věku. Bylo proto na základě věkového rozdělení budoucně do pojištění vstupujících generací, uvedeného v důvodové zprávě č. t. posl. sněm. 4186./I. na str. 161. stanoveno, že přistupuje ročně do pojištění

Výpočet nároku na př. na důchod
invalidní ročně přistupujících
budoucích generací lze stanoviti takto:

značí nárok na invalidní důchod
pro muže resp. ženu. Obdobně lze počítati
hodnoty ostatních nároků.
Jediný způsob, vedoucí v podstatě
k témuž výsledku; je výpočet
stanovený kvadratickou interpolací nároků
budoucích generací pro tři různé
počátky pojistné povinnosti s celistvými
indexy věkovými. Ježto byl zkoumán vliv
dolních hranic věkových, t. j. různých
počátků pojistné povinnosti na výši
pojistného, bylo pro výpočet nároků
budoucích generací podle vládního
návrhu užito tohoto druhého způsobu.
Při tom zůstává počet osob
do pojištění přistupujících
při pojistné povinnosti od 15 let; jak je uveden
v důvodové zprávě č. t. posl.
sněm. 4186./I. na str. 161.; při pojistné
povinnosti od 16 let Nm16= 71.507, Nž16
= 43.798 a počet v dalších ročnících
zůstává týž jako v cit. důvodové
zprávě; při pojistné povinnosti od
17 let Nm17 = 83.661, Nž17=
50.451; ostatní další ročníky
zůstávají nezměněny; při
pojistné povinnosti od 18 let Nm18
= 85.326, Nž18 = 54.600 a Nm19
rovněž zůstává týmž
jako v cit. důvodové zprávě.
Důvodová zpráva k vládnímu
návrhu počítala s tím, že pojistná
povinnost, počínající v dokonaném
16. roce věku, má za následek, že pojištěnci
t. zv. nynější generace vstoupí do pojištění
až po dokonaném 16. roce věku, poněvadž
však účinnost této novely je posunuta
tak, že budou již všechny osoby nynější
generace míti dokonaný 16. rok svého věku,
lze tudíž ve výpočtech ponechati celou
nynější generaci, jak s ní počítala
důvodová zpráva k nynějšímu
zákonu.
Ostatní změny, případně nezbytné
nové statistické podklady, budou uvedeny podrobněji
níže:
Při projednávání vládního
návrhu v sociálně-politickém výboru
byly provedeny tyto změny v dávkovém systému:
1. S účinností od 1. ledna 1920 zkracuje
se čekací doba na 100 týdnů příspěvkových.
2. Starobní důchod přiznává
se, dosáhl-li pojištěnec 65, rok věku,
i když je dále zaměstnán, avšak
nevydělává ani polovinu toho, co tělesně
a duševně zdravý zaměstnanec téhož
oboru s podobným výcvikem v témže obvodě
obyčejné vydělává.
3. Nárok na vdovský důchod má dále
vdova pojištěnce, který v době svého
úmrtí požíval důchodu invalidního
nebo starobního, nebo měl nárok na takový
důchod, pokud pečuje o dvě nebo více
dětí pojištěnce, požívající
sirotčího důchodu.
4. Nárok na důchod sirotčí rozšiřuje
se na děti nevlastní, jsou-li splněny určité
předpoklady.
5. Pojištěnka má nárok na výbavné,
provdá-li se po dokonání čekací
doby.
6. Důchod invalidní, starobní, jakož
i důchod vdovský a sirotčí pro děti
starší 14 let může se zvýšiti
o 50% v případě trvalé bezmocnosti
důchodcovy.
7. Zemře-li pojištěnec v čekací
době, mají pozůstalí nárok
na odbytné vyměřené v jednotlivých
třídách pevnými částkami,
zemře-li po čekací době, vyplácí
se odbytné ve výši podle zákona č.
221./24, nesmí však klesnouti pod částku,
jež je dána sazbami odbytného vypláceného
v případě úmrtí pojištěnce
v čekací době.
Právě uvedené změny dávkového
systému vyžadují ovšem zvýšení
pojistného vzhledem k tomu pojistnému, které
obsahoval vládní návrh č. t. posl.
sněm. 1225./II., jak je patrno z tabulky:
| Aa | 122,56 | 123,50 | 129,87 | 134,27 | 0,77 | 5,96 | 9,55 |
| Ab | 157,- | 157,72 | 165,66 | 170,59 | 0.46 | 5,52 | 8,66 |
| B | 191,44 | 192,33 | 201,88 | 207,37 | 0,46 | 5,45 | 8,32 |
| C | 227,17 | 228,29 | 23952 | 245,57 | 0,49 | 5,49 | 8,10 |
| D | 277,67 | 279,14 | 292,74 | 299,36 | 0,53 | 5,43 | 7,81 |
| Průměr | 0,56 | 5,58 | 8,50 | ||||
*) Označení tříd bylo změněno
tak, že pro pojištění invalidní
a starobní tvoří:
| třídy I. a II. | Aa | VI. a VII. | C | |||
| třída III. | Ab | VIII. až XI. | D. | |||
| třídy IV. a V. | B |
Ad 1. Po stránce pojistně-matematické nezpůsobuje
zavedení dvouleté čekací doby při
výpočtu jednotlivých nároků
podstatnějších změn a není tedy
třeba uváděti všech užitých
vzorců. Možno se omeziti jen na vzorce vystihující
závislost nároků na budoucím stoupání
mzdy vyplývajícím ze vzrůstu doby
zaměstnání a souvisejícím tudíž
podstatně s věkem pojištěnce. Hodnota
důchodu invalidního, vypláceného po
skončení doby čekací byla počítána
podle vzorce:

Ad 2. Není spolehlivých podkladů pro ocenění
zvýšení pojistného vlivem změněné
podmínky pro přiznávání starobního
důchodu. Je jisto, že čísla a1
udávající, kolik ze 100 osol 65letých
a starších uplatňuje nárok v i
letech věku, jak jsou uvedena v důvodové
zprávě č. t. posl. sněm. 4186./I.
na str. 141., se vlivem této podmínky změní;
změnu tu však nelze z nedostatku statistických
zkušeností dosti spolehlivě vystihnouti.
Užije-li se pra odhad těchto čísel:
| 65 | 55 |
| 66 | 15 |
| 67 | 10 |
| 68 | 8 |
| 69 | 6 |
| 70 | 4 |
| 71 | 2 |
možno zhodnotiti roční finanční
efekt změněné podmínky pro nápad
důchodu starobního částkou 5 milionů
Kč. Vliv této změny nebyl pojat do ryzího,
nýbrž do hrubého pojistného a musí
tudíž býti uhrazen z částky zbývající
na správní náklady a léčebnou
péči.
Ad 3. Vzhledem k vládnímu návrhu č.
t. posl. sněm. 1225./II. byla, jak již uvedeno, provedena
výborem sociálně-politickým podstatná
změna v nároku na vdovský důchod.
Pro výpočet hodnot nároků vdovy y-leté
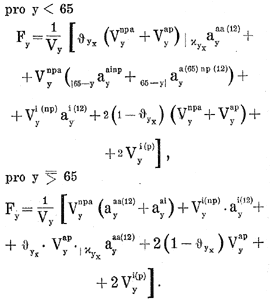
při úmrtí manželově Fy,
bylo proto užito těchto vzorců:
pro y < 65

Výpočet hodnot 65-y|aa(65)np(12)y
byl uveden již v důvodové zprávě
k vládnímu návrhu.
Čísla yX značí ten díl
počtu manželek při úmrtí x-letého
manžela y-letých, které v době úmrtí
manžela mají aspoň dvě děti s
nárokem na sirotčí důchod, a odvozena
byla tímto postupem:
Z výsledků úrazové statistiky rakouské
za léta 1896 až 1900 vyplývá, že
ze 487 mužů stižených smrtelným
úrazem v těchto letech bylo:
| 1544 | svobodných, |
| 119 | ženatých bezdětných, |
| 636 | ženatých s jedním dítětem, |
| 593 | ženatých s dvěma dětmi, |
| 480 | ženatých s třemi dětmi, |
| 285 | ženatých s čtyřmi dětmi, |
| 133 | ženatých s pěti dětmi, |
| 82 | ženatých s šesti a více dětmi. |
Přihlédne-li se k tomu, že může
býti také určité procento vdov s dvěma
a více dětmi invalidních, lze na základě
právě uvedených čísel souditi,
že bude ze všech vdov 45% těch, které
budou míti v době úmrtí manžela
dvě nebo více dětí. K témuž
procentu lze dospěti na př. též druhou
cestou na základě výsledků sčítání
lidu z roku 1921 v obvodu dělnických čtvrtí
velké Prahy (Československý statistický
věstník č. 8. až 10., roč. III.).
Z tabulky č. XXV. důvodové zprávy
č. t. posl. sněm. 4186./I., která udává
počet dětí z-letých až do věku
17 let připadajících na x-leté pojištěnce,
bylo stanoveno jednak kolik průměrně dětí
připadá na x-letého pojištěnce,
jednak kolik dětí průměrně
připadá na jednoho pojištěnce bez ohledu
na jeho věk. Ten věk x pojištěnce, který
vykazoval týž průměrný počet
dětí, jaký připadal na jednoho pojištěnce
vůbec, byl pak zvolen za věk odpovídající
střednímu = 0,45. Individuelní x udávající
procento x-letých pojištěnců, kteří
mají dvě nebo více dětí do
17 let, stanovena pak ze středního = 0,45 úměrně
vzhledem k průměrnému počtu dětí
pro každý věk pojištěnce. Hrubé
hodnoty x byly pak graficky vyrovnány.
Průběh vyrovnaných hodnot x podává
pro některá stáří tabulka:
| 20 | 0,00 |
| 25 | 0,02 |
| 30 | 0,17 |
| 35 | 0,38 |
| 40 | 0,50 |
| 45 | 0,51 |
| 50 | 0,41 |
| 55 | 0,23 |
| 60 | 0,09 |
Hodnoty yx určeny z x převodem
podle tabulky č. 64. důvodové zprávy
č. t. posl. sněm. 4186./I., kde udán věk
manželky yx a manžela x-letého.
Pro výpočet čísel nyx použito
opět cit. tabulky č. XXV. Z ní zjištěn
věk dětí zx pro x-letého
pojištěnce; doplněk na 17 let udává
přímo hrubé nx = 17 - zx,
t. j., jak dlouho průměrně by trval požitek
důchodu sirotčího dítěte, jehož
otec zemře ve věku x. Odtud lze též
zjistiti, že požitek důchodu sirotčího
trvá průměrně 10 let. Případné
mírné přecenění je tu paralysováno
tím, že se nepřihlíží k
zatížení vyplývajícímu
z řídkého případu, že
aktivní vdova sama nepojištěná by v
době nyx vstoupila do zaměstnání
pojistně povinného a zde stala se invalidní
před dokonáním čekací doby.
Čísla nx obdobně jako v případě
yx.
Budiž uvedena opět tabulka nx pro některá
stáří:
| X | nx |
| 25 | 16 |
| 30 | 14 |
| 35 | 13 |
| 40 | 10 |
| 45 | 8 |
| 50 | 6 |
| 55 | 5 |
| 60 | 4 |
Toto řešení bylo zvoleno proto, aby statistické
podklady tohoto důchodu byly ve shodě s podklady
pro důchod sirotčí, s nímž je
v těsné souvislosti.
Ad 4., 6., 7. Úhrada pro rozšíření
požitku důchodu sirotčího na děti
nevlastní, jakož i úhrada pro zvýšení
důchodu bezmocným důchodcům a pro
změnu výměry odbytného není
opatřena ryzím pojistným, poněvadž
zatížení z těchto změn plynoucí
je nepatrné a nelze je zhodnotiti s dostatečnou
přesností.

