| ČSD. (dodané po převratu) | 2.437 | 762 | 89 | 37.206 |
| ČSD. (býv. ÚTD., Bd., c. k. st. dr., maď. st. dr., Hlučín) | 5.978 | 1.593 | 418 | 65.985 |
| Okresní frýdlantské dráhy | 10 | 3 | 26 | |
| Hustopečská dráha | 4 | 1 | 8 | |
| Košicko-Bohumínská dráha | 200 | 98 | 17 | 4.819 |
| Dohromady | 8.635 | 2.457 | 524 | 108.044 |
| Úzkorozchodné | 97 | 27 | 2 | 680 |
| Č. S. D. a místní dráhy ve státním provozu | 4240 |
| Soukromé dráhy ve vlastním provozu | 111 |
| Nových lokomotiv a motorových vazů jest celkem k 31. prosinci 1927 | 673 |
| 1919 | 90 | |||
| 1920 | 116 | |||
| 1921 | 100 | |||
| 1922 | 49 | |||
| 1923 | 93 | |||
| 1924 | 66 | |||
| 1925 | 62 | |||
| 1926 | 60 | |||
| 1927 | 37 | |||
| k 31. prosinci 1927 | 673 | |||

| ČSD. (od roku 1923 včetně ÚTD a BD.) | 413 | 719 | 1.078 | 1.100 | 1.856 | 2.168 | 2.525 | 8.363 | 8.401 |
| Vypůjčené a francouzské opravené | - | - | - | - | 8 | - | - | ||
| Hlučínská repartice | - | - | 25 | 25 | 25 | 25 | 25 | ||
| ČSD. a ČSD, býv. c. k. st. dr. | 5.255 | 4.764 | 5.077 | 5.460 | 5.313 | 5.188 | 5.041 | ||
| ČSD. býv. maď. st. dr. | 678 | 678 | 738 | 693 | 680 | 628 | 597 | ||
| Košicko-Bohumínská | - | - | - | 235 | 218 | 213 | 209 | 207 | 205 |
| Okresní frýdlantské dráhy | - | - | - | - | - | 14 | 10 | 10 | 10 |
| Hustopečská dráha | - | - | - | - | - | - | - | 6 | 4 |
| Dohromady | 6.346 | 6.161 | 6.918 | 7.513 | 8.100 | 8.236 | 8.407 | 8.586 | 8.620 |
| 1919 | 1920 | 1921 | 1922 | 1923 | 1924 | 1925 | 1926 | 1927 | |
| ČSD. (od roku 1923 včetně ÚTD. a BD) | 9 | 9 | 22 | 22 | 50 | 51 | 53 | 461 | 488 |
| Vypůjčené francouzské opravené | - | - | - | - | - | - | - | ||
| Hlučínská repartice | - | - | 2 | 2 | 2 | 2 | - | ||
| ČSD. a ČSD. býv. c. k. st. dr. | 348 | 345 | 354 | 333 | 329 | 377 | 383 | ||
| ČSD. býv. maď. st. dr. | 19 | 19 | 25 | 15 | 15 | 18 | 14 | ||
| Košicko-Bohumínská | - | - | - | 15 | 22 | 22 | 21 | 19 | 18 |
| Okresní frýdlantské dráhy | - | - | - | - | - | -- | - | - | - |
| Hustopečská dráha | - | - | - | - | - | - | - | - | - |
| Dohromady | 376 | 373 | 403 | 387 | 418 | 470 | 471 | 480 | 506 |
| 1919 | 1920 | 1921 | 1922 | 1923 | 1924 | 1925 | 1926 | 1927 | |
| ČSD. (od roku 1923 včetně ÚTD. a BD) | 109 | 209 | 630 | 688 | 920 | 919 | 912 | 2.366 | 2.360 |
| Vypůjčené francouzské opravené | - | - | - | - | 22 | - | - | ||
| Hlučínská repartice | - | - | 4 | 4 | 4 | 4 | 6 | ||
| ČSD. a ČSD. býv. c. k. st. dr. | 1.300 | 1.126 | 1.271 | 1.398 | 1.385 | 1.368 | 1.360 | ||
| ČSD. býv. maď. st. dr. | 166 | 166 | 107 | 111 | 1004 | 103 | 99 | ||
| Košicko-Bohumínská | - | - | - | 133 | 119 | 96 | 91 | 89 | 97 |
| Okresní frýdlantské dráhy | - | - | - | - | - | 4 | 3 | 3 | 3 |
| Hustopečská dráha | - | - | - | - | - | - | - | 1 | 1 |
| Dohromady | 1.575 | 1.501 | 2.012 | 2.334 | 2.554I | 2.494 | 2.471 | 2.459 | 2.461 |
| ČSD. (od roku 1923 včetně ÚTD. a BD) | 8.890 | 23.326 | 82.591 | 33.936 | 49.249 | 50.893 | 51.374 | ||
| Vypůjčené francouzské opravené | 161 | 2.463 | 2.320 | 1.037 | 810 | - | - | ||
| Hlučínská repartice | - | - | 77 | 77 | 76 | 67 | 65 | 104.138 | 103.416 |
| ČSD. a ČSD. býv. c. k. st. dr. | 38.755 | 31.559 | 49.425 | 51.429 | 49.114 | 47.743 | 45.973 | ||
| ČSD. býv. maď. st. dr. | 22.300 | 22.300 | 9.118 | 9.147 | 9.077 | 9.386 | 9.242 | ||
| Košicko-Bohumínská | - | - | - | 5.465 | 5.434 | 5.320 | 5.235 | 4.853 | 4.821 |
| Okresní frýdlantské dráhy | - | - | - | - | - | 44 | 26 | 26 | 26 |
| Hustopečská dráha | - | - | - | - | - | - | - | 8 | 8 |
| Dohromady | 65.106 | 79.648 | 93.531 | 101.091 | 113.760 | 113.453 | 111.915 | 109.025 | 108.271 |
Poznámka: Data jsou vždy z konce roku.
Až do roku 1922 nejsou data přesná, poněvadž
vozy byly používány společně
s nástupnickými státy, nejsouce ani prozatímně
přiděleny: Stav jejich se tudíž stále
měnil.
| objednáno | přistaveny | úhrada | objednáno | přistaveno | úhrada | ||
| 1,901.072 | 1,848.847 | 97% | 3,957.421 | 3,500.000 | 88% | Nedostatek speciálních krytých a otevřených vozů přes 10 m dlouhých a vozů oplenových. Úhrada uhelné potřeby 91%. | |
| 2,059.084 | 2,046.343 | 99% | 3,541.455 | 3,475.360 | 98% | Nedostatek speciálních krytých a otevřených vozů přes 10 m dlouhých. Úhrada uhelné potřeby plná. | |
| 2,254.822 | 2,245.813 | 99% | 3,564.775 | 3,342.389 | 93% | Nedostatek speciálních krytých a otevřených vozů přes 10 m dlouhých, jakož i otevřených vozů v době anglické stávky. | |
| 2,455.260 | 2,426.342 | 99% | 3.775.585 | 3,659.941 | 97% | Nedostatek krytých speciálních vozů a otevřených vozů přes 10 m dlouhých. Úhrada uhelné potřeby plná. | |
| 596.328 | 594.024 | 99% | 841.998 | 818.765 | 97% | Nedostatek krytých speciálních vozů a otevřených vozů přes 10 m dlouhých. Úhrada uhelné potřeby plná. | |
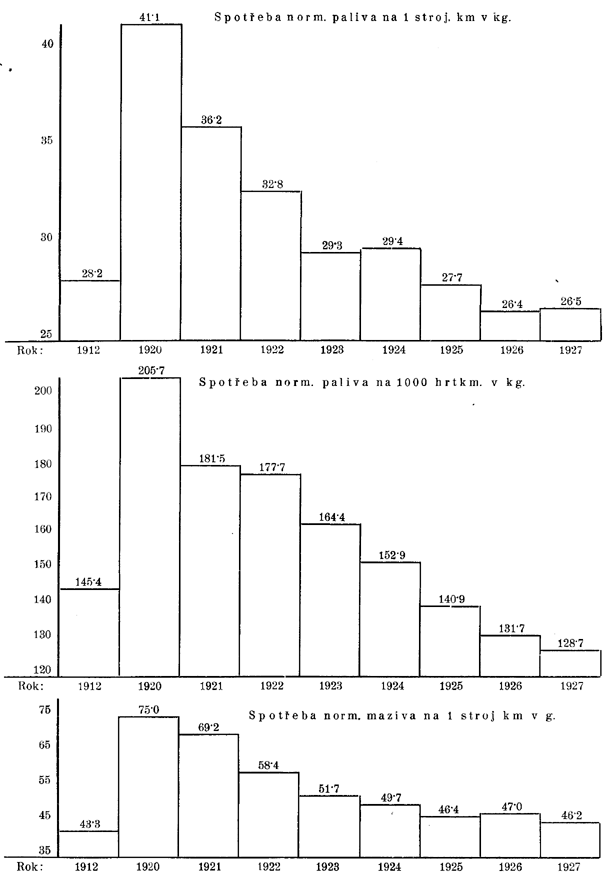
| Spotřeba norm. paliva na lokomotivách na i strojový kilometr v kilogramech | 28,2 | 40,9 | 41,1 | 36,2 | 32,8 | 29,3 | 29,4 | 27,7 | 26,4 | 26,5 |
| Spotřeba norm. paliva na lokomotivách na 1.000 hrubých tunových kilometrů v kilogramech | 145,4 | 202,8 | 205,7 | 181,5 | 177v7 | 164,4 | 152,9 | 140,9 | 1317 | 128,7 |
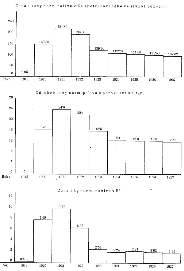
| Cena 1 tuny norm. paliva v Kč pokud se týče v K | 9,05 | 59,60 | 150,0 | 221,80 | 199,- | 139,60 | 112,70 | 111,80 | 111,50 | 107.62 |
| Spotřeba norm. maziva na lokomotivách na 1 strojový kilometr v gramech | 43,3 | 74,8 | 75,- | 69,2 | 58,4 | 51,7 | 49,7 | 46,4 | 47,0 | 46,2 |
| Cena 1 kg norm. maziva v Kč pokud se týče v K | 0,183 | 2,48 | 7,69 | 9,77 | 6,22 | 2,54 | 2,24 | 2,27 | 2,02 | 1,95 |
| Výkon 1 lokomotivy ročně v strojových kilometrech | 38.520 | 26.071 | 28.890 | 31.560 | 32.192 | 32.516 | 35.559 | 36.318 | 37.111 | 39.255 |
| Výkon 1 lokomotivy ročně v 1.000 hrubých tunových kilometrů | 7.566 | 5.259 | 5.765 | 6.291 | 5.936 | 5.801 | 6.844 | 7.141 | 7.454 | 8.075 |
| Na 1 zaměstnance vozební služby připadá strojových kilometrů | 6.460 | 4.350 | 4.760 | 5.096 | 5.675 | 6.019 | 6.660 | 6.942 | 7.160 | 7.549 |
| Na 1 zaměstnance vozební služby připadá 1.000 hrubých tunových kilometrů | 1.268 | 877 | 950 | 1.017 | 1.028 | 1.072 | 1.282 | 1.365 | 1.438 | 1.553 |
| Na 1 strojní četu připadá strojových kilometrů | - | - | - | 19.203 | 20.571 | 21.694 | 23.624 | 23.413 | 24.122 | 24.637 |
| Poznámka | |||||||||||||
| 1') V roce 1926 zakoupeno 15.000 bulek v roce 1927 žádné. V ceně bulek na dole zahrnuty dávky.
2) V roce 1927 zakoupeno větší množství hodnotnějších bulek. Ve vyšší ceně bulek jsou zahrnut takové dávky. | |||||||||||||
| Most | 76,16 | 10,83 | 86,99 | 73,43 | 10,45 | 83,88 | - 2,73 | - 0,38 | - 3,11 | - 3,58 | - 3,51 | - 3,58 | |
| Falknov | 66,99 | 7,66 | 74,65 | 65,53 | 7,39 | 72,92 | - 1,46 | - 0,27 | - 1,73 | - 2.18 | - 3,52 | - 2,32 | |
| Handlová | 142,58 | 16,23 | 158,81 | 140,18 | 15,96 | 156,14 | - 2,40 | - 0,27 | - 2,67 | - 1,68 | - 1,66 | - 1,68 | |
| Hnědé | 77,43 | 10,71 | 88,14 | 75,02 | 10,34 | 85,36 | - 2,41 | - 0,37 | - 2,78 | - 3,11 | - 3,45 | - 3,15 | |
| Plzeň | 219,30 | 25,30 | 244,60 | 215,57 | 28,68 | 244,25 | - 3,73 | + 3,38 1) | - 0,35 | - 1,70 | + 13,35 1) | - 0,14 | |
| Kladno | 186,50 | 25.50 | 212.- | 184,50 | 25,24 | 209,74 | - 2,00 | - 0,26 | - 2,26 | - 1,07 | - 1,02 | - 1,06 | |
| Trutnov | 190,08 | 20,11 | 210,19 | 185,83 | 19,67 | 205,50 | - 4,25 | - 0,44 | - 4,69 | - 2,23 | - 2,18 | - 2,23 | |
| Rosice | 162,82 | 15,18 | 178,- | 179,08 | 1,13 | 180,21 | + 16,26 2) | - 14,05 2) | - 2,21 2) | + 9,98 | - 92,55 | + 1,24 2) | |
| M. Ostrava | 142,40 | 18,21 | 160,61 | 140,04 | 17,90 | 157,94 | - 236 | - 0,31 | - 2,67 | - 1,65 | - 170 | - 1,66 | |
| Černé | 162,54 | 20,77 | 183,31 | 160,62 | 20,55 | 181,17 | - 1,92 | - 0,22 | - 2,14 | - 1,18 | - 1,05 | - 1,16 | |
| Celkový průměr | 106,39 | 14,13 | 120,52 | 105,66 | 13,99 | 119,65 | - 0,73 | - 0,14 | - 0,87 | - 0,68 | - 0,99 | - 0,72 | |


















| Břeclav-Lednice | 633.520 | 792.990 | 159.470 | 50.000 | - | 209.470 | 64.540 | |
| Častolovice-Rychnov n. Kn. - Solnice | 999.710 | 1,963.500 | 963.790 | 45.000 | - | 1,008.790 | 1,429.030 | |
| Hanušovice-Staré Město | 365.730 | 718.000 | 352.270 | 26.000 | 5.000 | 383.270 | 126.490 | |
| Jilemnice-Roketnice | 2,177.050 | 3,021.280 | 844.230 | 170.000 | 40.00 | 1,054.230 | 723.890 | |
| Liberec-Jablonec-Tanvald | 14,753.100 | 16,012.640 | 1,259.540 | 530.000 | 90.00 | 1,879.540 | 368.650 | |
| Moravská západní | 7,072.240 | 12,485.590 | 5,413.350 | 300.200 | 60.000 | 5,773.550 | 4,433.610 | |
| Opava-Hradec | 759.630 | 909.100 | 149.470 | - | 5.00 | 154.4701 | 177.490 | |
| Otrokovice-Zlín-Vizovice | 5,136.820 | 5,047.250 | 89.570 | 85.000 | 50.000 | 45.430 | 99.240 | |
| Petrovice-Kouty | 670.850 | 1,034.970 | 364.120 | 28.000 | 5.000 | 397.120 | 264.640 | |
| Skalice-Boskovice-Velké Opatovice | 1,892.510 | 2,815.810 | 923.300 | 95.000 | 30.000 | 1,048.300 | 930.970 | |
| Teplice-Poříčí-Trutnov | 2,537.900 | 3,800.820 | 1,262.920 | 54.000 | 50.000 | 1,366.92 | 477.640 | |
| Velké Březno-Verneřice-Úštěk | 1,829.260 | 2,346.560 | 1,517.300 | 64.000 | 30.000 | 1,611.300 | 1,203.350 | |
| Bratislava-Komárno | 11,162.700 | 13,125.930 | 1,963.230 | 340.000 | 64.000 | 2,367.230 | 3,858.360 | |
| Čadca-Makov | 1,447.770 | 2,341.780 | 894.010 | 170.000 | 18.000 | 1,082.01 | 826.100 | |
| Hronská Breznice-Levice | 11,044.000 | 16,336.300 | 5,292.300 | 260.000 | 36.000 | 5,588.30 | 5,561.410 | |
| Kežmarok-Spišská Belá | 1,041.610 | 1,575.710 | 534.100 | 30.000 | 18.000 | 582.100 | 251.990 | |
| Komárno-Gúta | 665.800 | 1,809.000 | 1,143.200 | 120.000 | 18.00 | 1,281.20 | 1,387.380 | |
| Košice-Turňa | 2,493.940 | 4,626.290 | 2,132.350 | 400.000 | 36.000 | 2,568.350 | 1,906.980 | |
| Nitra-Zbehy-Radošina | 1,369.500 | 1,962.530 | 593.030 | 120.000 | 18.000 | 731.030 | 759.550 | |
| Piešťany-Vrbové | 902.200 | 1,373.670 | 471.470 | 50.000 | 18.000 | 539.470 | 776.640 | |
| Snáška | 67,955.840 | 94,099.720 | 26,143.880 | 2,937200 | 591.000 | 29,672.080 | 24,535.670 | |
| Přenos | 67,955.840 | 94,099.720 | 26,143.880 | 2,937.200 | 591.000 | 29,672.080 | 4,535.670 | |
| Poprad-Kežmarok | 2,945.900 | 3,890.890 | 944.990 | 65.000 | 18.000 | 1,027.99 | 503.180 | |
| Rimavská Sobota-Poltár | 548.000 | 1,592.340 | 1,044.340 | 159.400 | 18.000 | 1,221.740 | 1,450.800 | |
| Šahy-Krupina | 3,153.000 | 3,752.110 | 599.110 | 180.000 | 28.000 | 807.110 | 1,145.580 | |
| Šala n. Váh.-Neded | 1,104.000 | 1,604.070 | 500.070 | 85.000 | 18.00 | 603.070 | 703.090 | |
| Šamorýn-Úsor | 302.900 | 612.250 | 309.350 | 40.000 | 15.00 | 364.350 | 520.220 | |
| Spišská Belá-Podolinec | 595.040 | 1,140.670 | 545.630 | 40.000 | 18.000 | 603.630 | 497.070 | |
| Teplá-Nemšová-Lednické Rovné | 951.000 | 1,410.240 | 459.240 | 95.000 | 18.000 | 572.240 | 871.350 | |
| Trebišov-Vranov | 983.070 | 2,096.180 | 1,113.110 | 95.000 | 18.000 | 1,226.110 | 835.000 | |
| Vlachy-Spišské Podhradie | 453.860 | 1,038.470 | 584.610 | 35.000 | 18.00 | 637.610 | 388.630 | |
| V údolí Gelnice | 3,076.560 | 5,460.710 | 2,384.150 | 150.000 | 28.000 | 2,562.150 | 2,776.320 | |
| V údolí Levoče | 984.910 | 2,182.500 | 1,197.590 | 50.000 | 18.00 | 1,265.590 | 655.430 | |
| V údolí Muráně | 2,407.000 | 3,925.070 | 1,518.070 | 140.000 | 28.000 | 1,686.070 | 2,589.230 | |
| V údolí Štítnice | 1,446.600 | 1,909.160 | 462.560 | 85.000 | 18.000 | 565.560 | 908.160 | |
| V údolí Žitvy | 4,074.000 | 7,489.570 | 3,415.570 | 245.000 | 36.000 | 3,696.570 | 4,373.590 | |
| Žilina-Rájec | 2,254.790 | 2,644.290 | 389.500 | 80.000 | 18.000 | 487.500 | 211.680 | |
| Studený Potok-Tatranská Lomnica | 258.160 | 774.970 | 516.810 | - | - | 516.810 | 400.090 | |
| Celkem | 93,494.630 | 135,623.210 | 42,128.580 | 4,481.600 | 906.000 | 47,516.180 | 3,865.090 | |
| Košicko-Bohumínská dráha | 259,517.000 | 301,016.000 | 41,499.000 | 13,264.000 | 300.000 | 55,063.000 | 26,952.370 | |
Správa podniku "Státní lesy a statky"
jest organisována takto:
Vrchní vedení podniku náleží
podle ustanovení § 6. vládního nařízení
číslo 206 z r. 1924 ministerstvu zemědělství,
jakožto nejvyššímu správnímu
úřadu, které obstarává tuto
agendu za účasti správního sboru svým
odborem (V.), který má název ústřední
ředitelství státních lesů a
statků.
Ústřední ředitelství vykonává
jednak vrchní správu podniku, jež záleží
ve vydávání základních směrnic
pro podnik, v rozhodování konkretních věcí
tak důležitých, že rozhodnutí může
míti význačný vliv na celkové
hospodářství podniku, dále ve vrchním
dozoru na podnikové hospodaření a ve schvalování
konečných hospodářských výsledků
podniku, jednak zasahuje do bezprostředního vedení
podniků po stránce hospodářské,
technické a komerční ve věcech zásadních,
zejména týkají-li se celého podniku
nebo byly-Ii vyhrazeny pro svou důležitost nejvyššímu
správnímu úřadu.
Účetní a pokladní revise vykonává
stálá revisní komise, která předkládá
své zprávy nejvyššímu správnímu
úřadu, správnímu sboru a ministerstvu
financí a po uplynutí správního roku
zkoumá účetní závěrku.
Bezprostřední vedení podniku po stránce
hospodářské, technické, obchodní
a administrativní v určitých oblastech obstarávají
jako správní orgány II, stolice ředitelství
státních lesů a statků, která
vykonávají též hospodářskou
inspekci a účetní revisi u podřízených
správních jednotek I. stupně (místních
správ).
Ředitelství zřízena jsou pro určité
oblasti vyznačující se stejnorodými
poměry výrobními a obchodními a velikost
jejich kolísá vzhledem k souvislosti přiděleného
jim majetku a se zřetelem k povaze i intensitě hospodářství
mezi 40-110.000 ha.
V přítomné době zřízeno
jest v zemích českých 5 ředitelství,
na Slovensku 4 a v Podkarpatské Rusi 3 ředitelství.
Organisace ředitelství zejména v zemích
českých není dosud skončena a bude
ji možno konečně vyřešiti až
po provedení pozemkové reformy jak v akci postátňovací,
tak v akci směnné.
Vlastní provoz hospodářství a bezprostřední
správu základních správních
jednotek obstarávají jako správní
orgány I. stolice za vedení a dohledu ředitelství,
jakož i ostatních nadřízených
orgánů místní správy.
Podle povahy hospodářství dělí
se místní správy:
1. na správy státních lesů,
kde provozuje se výhradně hospodářství
lesní s drobnými vedlejšími závody
lesní produkce (menší pily, dřevosklady,
lomy, rašeliniště. pod.): Velikost správ
lesů řídí se danými hospodářskými
poměry, zejména souvislostí majetku a intensitou
hospodářství a kolísá v zemích
českých většinou mezi 2-7000 ha, na
Slovensku mezi 4-12.000 h, v Podkarpatské Rusi, kde hospodářství
je většinou dosud velmi extensivní a počíná
se teprve rozvíjeti mezi 10-20.000 ha. Správy lesů
člení se pak na další hospodářské
jednotky zvané polesí a tato na okrsky ochranné,
zvané hájenství.
2. Na správy státních statků,
kde provozuje se ve vlastní režii výhradně
hospodářství polní s drobnými
vedlejšími závody zemědělské
výroby (lihovary, pivovary, mlýny, mlékárny
a sýrárny, cihelny a pod.).
Rozloha správ statků rovněž jest rozdílná,
řídíc se danými poměry.
Místní správy statků (bývalé
vrchní hospodářské správy)
člení se na další hospodářské
jednotky - dvory.
3. Na správy státních lesů a statků,
kde provozuje se převážně buď hospodářství
lesní (na př. Brandýs n. L., Ostrov, Šaštín),
anebo hospodářství polní v režii
(Ploškovice, Bezno), a druhé odvětví
hospodářské je zastoupeno jen menší
rozlohou, nebo je zemědělská půda
propachtována (na př. Židlochovice, Uherčice).
4. Na správy státních rybníků
(případně statků a rybníků),
kde provozuje se výhradně neb převážně
hospodářství rybniční.
Pro odvětví průmyslové neb dopravní
závody lesní zřízeny jsou jako samostatné
místní správy: správy státních
pil, správy státních dřevoskladů,
správy státních lesních drah, semenářský
závod státních lesů.
Podobně pro velké průmyslové závody
zemědělské zřízeny jsou rovněž
samostatné místní správy: státní
cukrovary ve Zvoleněvsi a ve Smiřicích,
které podléhají přímo ústřednímu
ředitelství, a státní mlékárna
v Českém Těšíně.
Přechodným útvarem správním
je inspekce státních statků v Bratislavě,
která zřízena byla ku provedení směnné
akce pozemkové na jihozápadním Slovensku
a k vykonávání inspekce na statcích
touto akcí získaných, které byly propachtovány.
Zvláštním útvarem jest ředitelství
státního lesního statku Adamova vysoké
školy zemědělské v Brně,
které řídí pod vrchním vedením
ústředního ředitelství státních
lesů a statků za účasti správního
výboru, složeného z členů profesorského
sboru řečené školy místní
správu státních lesů a státní
pily v Adamově.
Správa státních lesů a statků
je konečně účastna podílem
okrouhle 58% ve správě panství oravského
kompossessorátu, pro něž je zřízeno
ředitelství v Oravském Podzámku
a které vede podle zvláštních stanov
správní výbor zvolený valnou hromadou
kompossessorů.
Konečná organisace podniku "Státní
lesy a statky" upravena bude na základě §.
vládního nařízení číslo
206 z r. 1924 všeobecným organisačním
řádem, který jest již vypracován
a bude vládě předložen ku schválení.
Po schválení tohoto organisačního
řádu bude možno přikročiti k
vydání příslušných dalších
řádů, služebních předpisů
a instrukcí pro jednotlivá odvětví
hospodářská a obory služby. V této
příčině připraveny jsou již
zejména obsáhlé:
1. instrukce pro zaměření, ohraničení
a zařízení státních lesů
a statků,
2. instrukce výrobního a obchodního účetnictví
pro státní lesy a statky, která provádí
zásady obchodního hospodaření účetnickou
formou dopickou.
Důležitým mezníkem v organisaci a konsolidaci
podniku "Státní lesy a statky" bylo vydání
nového služebního řádu pro
zaměstnance podniku, který schválen byl vládou
ve schůzi konané dne 17. července 1928, v
níž schválena byla vládou zároveň
systemisace služebních míst pro tento podnik:
Vydáním služebního řádu
na základě § 210. nového platového
zákona upraveny byly konečně spletité
a různorodé poměry zaměstnanců
podniku "Státní lesy a statky", které
zaviněny byly značnou různorodostí
statků a objektů, z nichž dnešní
podnik vznikl.
Schválením systemisace služebních míst
byla dána podniku také možnost trvale ustanoviti
alespoň nejnutnější počet řádně
kvalifikovaných zaměstnanců a odstraniti
tak různé nedostatky ve službě a v hospodaření,
jež vznikaly zejména při stoupající
intensitě a rozvoji lesního hospodářství
na Slovensku a v Podkarpatské Rusi nedostatkem potřebného
počtu odborných sil. Od zaměstnanců
řádně zabezpečených služebním
řádem bude též možno žádati
větší výkonnost a zodpovědnost
nežli od sil zaměstnávaných přechodně
na výpomoc a za denní plat.
Lze doufati, že po převodu zaměstnanců
do nového služebního poměru podle vydaného
služebního řádu a po vydání
organisačního řádu bude možno
v roce 1929 ukončiti první období základních
organisačních prací směřujících
ku konsolidaci a unifikaci správy podniku.

